Krasjkurs 1#

Læringsmål

  • Kunne bruke CAS til å regne funksjoner og bestemme funksjonsverdier, den deriverte, ekstremalpunkter og ukjente koeffisienter.

  • Kunne bruke CAS til å løse likninger, likningssystemer og ulikheter

  • Kjenne til matematiske funksjoner i CAS som \(\ln x\), \(\log_a (x)\) og \(e^x\).

Funksjoner#

Det er noen matematiske funksjoner i R1 som vi må kunne bruke i CAS. Her er en oversikt over de vi trenger:

Funksjon

Notasjon i CAS

Eksempel

\(\ln(x)\)

ln(x)

ln(5)

\(\lg(x)\)

lg(x)

lg(100) gir \(\lg(100)\)

\(\log_a(x)\)

log(a, x)

log(2, 8) gir \(\log_2 (8)\)

\(e^x\)

exp(x)

exp(3) gir \(e^3\)

Funksjonsverdier#

Det er i blant nyttig å kunne regne ut funksjonsverdier \(f(x)\), og det kan gjøres raskt og enkelt med CAS.

Utforsk 1

I gif-en nedenfor regner vi ut \(f(2)\) eksakt og numerisk for funksjonen

\[ f(x) = x \ln x \]

Å regne ut eksakte verdier gjør vi med GeoGebra mode_evaluate icon – dette er det vi får som standard ved å bare trykke på enter . Å regne ut numeriske verdier gjør vi ved å trykke på GeoGebra mode_numeric icon.

Bruk CAS-vinduet og følge eksempelet i gif-en.

../../../_images/funksjonsverdier_1.gif

Fig. 1 Først defineres funksjon \(f(x)\). Det er viktig å bruke := og ikke bare = for at det skal bli en funksjon. Deretter regner vi ut \(f(2)\) både eksakt og numerisk ved å bruke GeoGebra mode_evaluate icon og GeoGebra mode_numeric icon.#


Underveisoppgave 1

Bestem \(f(3)\) eksakt og numerisk for

\[ f(x) = e^{x^2} \]

Bestem \(g(5)\) eksakt og numerisk for

\[ g(x) = \lg(x + 10) \]

Bestem \(h(-3)\) eksakt og numerisk for

\[ h(x) = \log_2(x^2 + 4) \]

Funksjonsverdier til \(f'\) og \(f''\)#

Vi kan også regne ut funksjonsverdier for den deriverte \(f'\), eller den andrederiverte \(f''\) for en gitt funksjon \(f\).

Utforsk 2

I gif-en nedenfor regner vi ut \(f'(x)\), \(f''(x)\), \(f'(1)\) og \(f''(1)\) for funksjonen

\[ f(x) = x^3 e^{-x} \]

For å få den deriverte skriver vi bare f'(x) og for den andrederiverte f''(x).

Bruk CAS-vinduet og følg eksempelet.

../../../_images/funksjonsverdier_2.gif

Underveisoppgave 2

En funksjon \(f\) er gitt ved

\[ f(x) = x \ln (x + 1) \]
  1. Bestem \(f'(x)\).

  2. Bestem \(f'(2)\) eksakt og numerisk.

En funksjon \(g\) er gitt ved

\[ g(x) = \dfrac{1}{1 + e^{-x}} \]
  1. Bestem \(g'(x)\).

  2. Bestem \(g'(-2)\) eksakt og numerisk.

En funksjon \(h\) er gitt ved

\[ h(x) = e^{\sqrt{x + 1}} \]
  1. Bestem \(h''(x)\)

  2. Bestem \(h''(3)\) eksakt og numerisk.

En funksjon \(p\) er gitt ved

\[ p(x) = \log_2 (2x^2 + 4) \]
  1. Bestem \(p''(x)\).

  2. Bestem \(p''(4)\) eksakt og numerisk.


Bestemme \(f(x)\) med likningssystem#

I en del sammenhenger ønsker vi å bestemme koeffisientene til en funksjon \(f\) gitt ved et funksjonsuttrykk med ukjente koeffisienter, før vi skal bruke funksjonen videre til å løse andre problemstillinger med funksjonen. Dette er det neste vi skal se på.

Utforsk 3

I figuren til høyre vises en andregradsfunksjon

\[ f(x) = ax^2 + bx + c \]

sammen med noen punkter på grafen til \(f\).

I gif-en nedenfor vises det hvordan man bestemmer koeffisientene \(a\), \(b\) og \(c\) med et likningssystem og setter de inn i \(f(x)\). Oppskriften er:

  1. Lag en testfunksjon \(g(x)\) med de ukjente koeffisientene.

  2. Løs et likningssystem for koeffisientene ved å bruke punktene på grafen til \(f\).

  3. Erstatt koeffisientene i testfunksjonen \(g(x)\) med CAS-funksjonen ByttUt og definer \(f(x)\) med det nye uttrykket.

Prøv med CAS-vinduet og følg eksempelet i gif-en nedenfor.

../../../_images/bestemme_f.gif

Fig. 2 Først definerer vi en testfunksjon \(g(x)\) med de ukjente koeffisientene. Deretter lager vi et likningssystem og løser det med GeoGebra mode_solve icon. Til slutt bruker vi ByttUt(uttrykk, liste med forandringer) til å definere \(f(x)\) med de riktige koeffisientene.#


Underveisoppgave 3

I figuren til høyre vises grafen til en funksjon \(f\) gitt ved

\[ f(x) = ax^3 + bx^2 + cx + d \]

Bestem \(f(x)\).

I figuren til høyre vises grafen til en funksjon \(f\) gitt ved

\[ f(x) = \dfrac{100}{1 + a\cdot e^{-bx}} \]

Bestem \(f(x)\).

I figuren til høyre vises grafen til

\[ f(x) = a \cdot e^{-bx} + 1 \]

Bestem \(f(x)\).

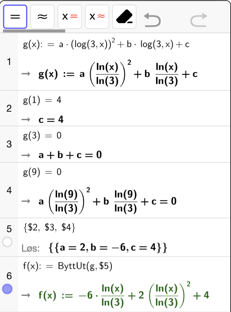
I figuren til høyre vises grafen til

\[ f(x) = a\cdot \left(\log_3 x\right)^2 + b \cdot \log_3 x + c \]

Bestem \(f(x)\).


Likninger#

De fleste likningene vi jobber med vil være tilknyttet funksjoner. Denne typen problemstillinger egner seg godt for CAS.

Eksakt løsning#

Utforsk 4

I figuren til høyre vises grafen til funksjonen

\[ f(x) = e^{2x} - 2e^{x} - 8 \]

Vi skal bestemme følgende eksakt:

  1. Nullpunktet til \(f\).

  2. Koordinatene til bunnpunktet til \(f\).

Bruk CAS-vinduet og følg løsningen nedenfor – eller prøv selv først og sjekk løsningen etterpå!

Løsning

  1. Vi løser \(f(x) = 0\) og \(f'(x) = 0\) eksakt ved å bruke GeoGebra mode_solve icon.

  2. Så regner vi ut koordinatene til bunnpunktet til slutt ved å bruke løsningen av \(f'(x) = 0\).

../../../_images/likninger_1.gif

Underveisoppgave 4

I figuren til høyre vises grafen til

\[ f(x) = (x^2 - 1)e^{-x^2 + 1} \]
  1. Bestem nullpunktene til \(f\).

  2. Bestem koordinatene til eventuelle topp- og bunnpunkter på grafen til \(f\).

I figuren til høyre vises grafen til

\[ g(x) = (x^2 - 3) e^{-x} \]
  1. Bestem nullpunktene til \(g\).

  2. Bestem koordinatene til eventuelle topp- og bunnpunkter på grafen til \(g\).

I figuren til høyre vises grafen til

\[ h(x) = \dfrac{\ln(x^2 + 4) - 1}{\ln(x^2 + 4) + 1} - \dfrac{1}{2} \]
  1. Bestem nullpunktene til \(h\).

  2. Bestem koordinatene til eventuelle topp- og bunnpunkter på grafen til \(h\).

I figuren til høyre vises grafen til

\[ p(x) = (\lg x)^2 - 3 \lg x + 2 \]
  1. Bestem nullpunktene til \(p\).

  2. Bestem koordinatene til eventuelle topp- og bunnpunkter på grafen til \(p\).

Numerisk løsning#

Med noen likninger, vil det være umulig å få \(x\) alene uansett hvor hardt vi prøver. Da er det numerisk løsning som er vår eneste utvei.

Utforsk 5

I figuren til høyre vises grafen til

\[ f(x) = x^2 e^{x} - 2 \]

Vi skal bestemme nullpunktet til \(f\).

Bruk CAS-vinduet til å følge løsningen nedenfor.

Løsning

Vi prøver å løse likningen \(f(x) = 0\) eksakt med GeoGebra mode_solve icon, men da får vi {?} fordi det ikke er mulig å få \(x\) alene. Derfor må vi bruke GeoGebra mode_nsolve icon for å finne løsningene numerisk.

../../../_images/numerisk_l%C3%B8sning.gif

Underveisoppgave 5

I figuren til høyre vises grafen til

\[ f(x) = (x+3) \ln (x^2 + 1) \]
  1. Bestem nullpunktene til \(f\).

  2. Bestem koordinatene til eventuelle topp- og bunnpunkter på grafen til \(f\).

I figuren til høyre vises grafen til

\[ g(x) = x^3 e^{-x^2 + 1} - \dfrac{1}{2} \]
  1. Bestem nullpunktene til \(g\) numerisk.

  2. Bestem koordinatene til eventuelle topp- og bunnpunkter på grafen til \(g\) numerisk.

I figuren til høyre vises grafen til

\[ h(x) = x^4 \ln(x^2 + 1) - x^2 - 1 \]
  1. Bestem nullpunktene til \(h\) numerisk.

  2. Bestem koordinatene til eventuelle topp- og bunnpunkter på grafen til \(h\) numerisk.

Figuren til høyre viser grafen til

\[ p(x) = \dfrac{x e^{-x} + 2}{\ln(x^2 + 1) + 1} \]
  1. Bestem nullpunktene til \(p\) numerisk.

  2. Bestem koordinatene til eventuelle topp- og bunnpunkter på grafen til \(p\) numerisk.